Research progress

科研进展

2026/04/20

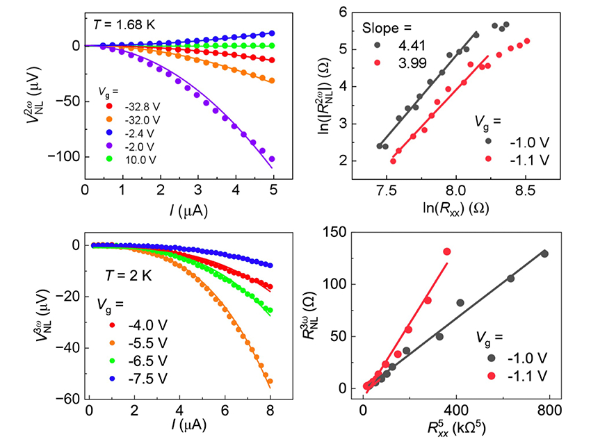
肖聪课题组与合作者揭示非线性谷电子学的基本效应

谷电子学旨在利用能带结构中的谷自由度开展新型物理与器件研究,其核心现象之一是谷霍尔效应。在线性响应框架下,谷霍尔效应与其逆过程满足Onsager倒易关系,具有相同的物理起源。谷霍尔效应与逆谷霍尔效应的结合可以传递非局域的电荷输运,给出测量谷霍尔效应的一种关键实验方法。另一方面,近年来非线性输运效应引发了广泛关注,而在非线性输运框架里,谷霍尔效应的逆效应尚未得到研究,其物理本质尚不清楚。由非线性谷霍尔效应及非线性逆谷霍尔效应传递的非局域电输运会展现那些规律呢?这些规律和线性谷霍尔效应传递的非局域电输运的范式是否有基本的不同之处?这些都是谷电子学和非局域输运中有待回答的基本物理问题。 为了回答这些问题,复旦大学理论物理与信息科学交叉中心肖聪青年研究员与香港理工大学杨声远教授及澳门大学赖屾助理教授领衔的研究团队在理论上首次建立了由非线性谷响应引起非局域输运的物理图像。这项研究明确指出,在非线性区间,谷霍尔效应与其逆效应之间的倒易关系被打破。非线性逆过程必然具有截然不同的对称性与物理起源。这一发现澄清了此前相关理论工作中的物理图像误解。具体而言,之前被广泛研究的谷响应机制,包括线性谷霍尔效应及

查看详情
2026/03/03

肖聪课题组与合作者在《物理评论快报》发文阐释内禀非线性电流的定义

内禀响应是凝聚态物理中的重要概念,它完全由材料的能带结构决定,可用于探测材料中丰富的量子几何性质。在时间反演破缺的系统中存在内禀的非线性电流响应,但如何定义内禀响应存在争议。在线性反常霍尔效应中,文献里经常提到的内禀贡献的三种定义方法是等价的,分别为零频无散射、高频极限外推、考虑散射但取与散射无关部分。然而,复旦大学肖聪青年研究员与香港理工大学杨声远教授和中国科学技术大学牛谦教授的合作研究团队发现,这三种定义方法在推广到非线性输运时会得出截然不同的结果,采用不同的定义会可能导致对实验结果不同的解释。为了澄清这一理论问题,研究团队对这三种定义进行了系统性的考察和比较。 研究团队发现,造成不同定义结果差异的根源在于“内禀反常分布” (Intrinsic Anomalous Distribution, IAD)。它起源于在散射过程中外场对波包能量的二阶修正。虽然其数值完全独立于散射强度,但其建立过程离不开散射带来的局部弛豫过程。细致的分析表明,只有考虑散射并提取其中散射无关部分的定义(即上述第三种定义),才能正确捕捉IAD。团队进一步指出只有考虑IAD的贡献,才能保证得到的结果与爱因斯坦关系

查看详情
News & Notices

新闻中心