2025-12-05
98
作者:Ingrid Fadelli | 2025年11月21日
二维范德华铁磁体是一种薄层磁性材料,其分子或层状结构由被称为范德华力的弱吸引力维系在一起。自旋电子学器件是利用电子自旋(即电子的本征角动量)而非电荷来运行的系统。在发展这类新型器件方面,二维范德华铁磁材料已被证明具有广阔的应用前景。
在磁动力学研究中,一个关键参数是所谓的吉尔伯特阻尼系数,它表征材料的磁化强度在受到扰动后,能量衰减并恢复到平衡状态的速率。较低的阻尼系数对于发展自旋电子学更为有利,因为这意味着一旦材料的磁化状态发生变化,能量损失更少。

(图片说明:左图,磁阻尼示意图;右图,带内跃迁示意图。能带的平衡占据状态(黑色)随着磁矩进动偏离平衡态(红色),直至带内跃迁使其再次恢复平衡。来源:Chen et al.)
复旦大学、上海大学和北京师范大学的研究人员开展了一项研究,旨在更好地理解二维范德华铁磁体中低吉尔伯特阻尼的基本原理。他们的论文发表在近期的《物理评论快报》上,揭示了这些原子级薄层材料中的镜像对称性阻止了带内跃迁,从而产生了超低的磁阻尼。
该论文的作者之一袁喆告诉Phys.org网:这项工作的起点是一个简单而深刻的问题,它在我脑海中萦绕了多年:二维范德华磁体是否拥有任何区别于传统三维磁体的独特物理性质——进而可能显著改进高性能、低功耗的磁性存储或计算器件?
二维范德华铁磁体的一个关键优势在于它们能将磁性保持到单原子层厚的薄面上。同时,它们的超薄层状结构会显著影响电子的行为,导致一些在块体磁性材料中观察不到的现象的出现。
我和我的合作者研究吉尔伯特阻尼已经超过十年了,因为它在磁化动力学中起着核心作用。袁喆解释道,就像摩擦系数决定了振荡的弹簧停下来的速度一样,吉尔伯特阻尼决定着磁化强度弛豫到平衡状态的速度。它也是决定自旋电子学器件能量效率的关键因素,因此寻找具有超低阻尼的材料一直是该领域长期追求的目标。
在传统铁磁体中,阻尼总是与两个部分相关:一个是源于带内电子跃迁产生的类电导分量,另一个是源于带间跃迁产生的类电阻分量。随着温度升高,前者显著减弱,而后者则逐渐突出。

(图片说明:左图,单层 Fe₃GaTe₂ 的原子结构。铁原子上的磁矩用黑色箭头表示。层中间的蓝色平面标识出晶格结构的镜像对称性。右图,单层 Fe₃GaTe₂ 在垂直(红色)和面内(黑色)磁矩方向下,吉尔伯特阻尼随电子散射率变化的关系。来源:Chen et al.)
袁喆说:这两者的竞争导致了吉尔伯特阻尼具有非单调的温度依赖性,并为阻尼设定了一个现实中的下限——阻尼无法降低到该阈值以下。
我们惊奇地发现,某些二维范德华铁磁体,如 Fe₃GeTe₂ 和 Fe₃GaTe₂,镜面对称性的存在致使带内贡献完全消失,只留下带间部分,导致了阻尼的单调温度依赖。这个理论下限值的消失意味着随着材料质量的提高,原则上阻尼可以变得无穷小。这一发现让我们十分振奋,驱使我们深入研究了这一现象。
研究人员近期的研究工作旨在为他们新发现的二维范德华铁磁体中单调阻尼提供微观起源解释。他们开展了第一性原理电子结构计算,并尝试使用一种称为扭矩关联模型的理论方法将二维磁体的电子结构与磁阻尼联系起来。
通过计算和分析,研究人员能够剖析出晶体对称性、磁矩方向、层堆叠方式和能带拓扑等因素对磁阻尼的影响。他们发现镜像对称性抑制了带内跃迁,使吉尔伯特阻尼的下限不复存在。
袁喆解释说:我们将密度泛函理论计算与扭矩关联模型——一种成熟的研究本征阻尼的第一性原理方法——结合起来,计算了费米面附近自旋轨道耦合的贡献。
谱函数中的散射率参数包含了温度和无序效应。这种理论形式使我们能够明确地区分带内和带间的贡献。
一些单层和少数层范德华磁体的晶体结构具有镜像对称性。研究团队证明,当这些磁体的磁化方向垂直于平面时,这种镜像对称性会禁忌带内跃迁,从而抑制类电导阻尼的。

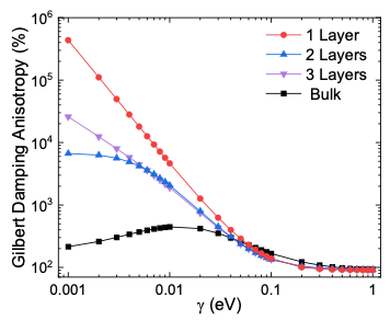
(图片说明:计算的 Fe₃GaTe₂ 在垂直与面内磁化方向之间的阻尼各向异性。来源:Chen et al.)
袁喆说:这消除了传统材料中阻尼存在下限的这个重要约束,使其在纯净条件下可以达到超低值(在我们的计算中)。
更重要的是,这是首个在磁性系统的对称性与其吉尔伯特阻尼大小之间建立起清晰、定量联系的理论工作。它还提供了一个实用的设计规则:通过控制对称性——无论是通过磁矩方向、层堆叠方式还是结构修饰——人们可以系统地调节阻尼强度。
这项研究为识别和设计具有本征超低吉尔伯特阻尼系数的二维范德华铁磁体开辟了新途径。它还表明,二维范德华铁磁体的镜像对称性在实现这种超低磁阻尼方面起到了至关重要的作用。
袁喆说:我们还证明了当通过倾斜磁化强度来打破镜像对称性时,带内通道会重新恢复,导致阻尼急剧增加。
这种对称性控制的各向异性提供了一种强大的新方法来调节阻尼,无需引入材料无序,为验证我们的预测提供了一个清晰的实验表征。
袁喆及其同事们得到的结果或对自旋电子学器件的发展产生重要影响。通过指导设计具有对称性抑制阻尼的二维范德华磁体,这项工作有望推动更先进的自旋电子系统的开发,实现更快、更节能的新设计,并兼容现有的纳米电子元件。
袁喆说:在这项工作之后,我们还有两个主要研究方向正在推进中。首先是探索其他受对称性控制的现象:我们将研究对称性如何影响其他关键物理性质,例如电阻率和自旋-电荷转换,这些也都是自旋电子学应用的核心。
研究人员现在还计划将其分析范围扩展到范德华磁性绝缘体。这些是由范德华力结合在一起的不导电的层状材料。
许多范德华磁性材料是没有传导电子的半导体或绝缘体。袁喆补充道,在这些系统中,磁阻尼来源于磁子-磁子和磁子-声子的相互作用,而非电子跃迁。我们计划开发新的理论框架来定量描述这些机制,从而在各类别磁性材料中建立统一阻尼机制。
更多信息:Weizhao Chen, Yu Zhang, Yi Liu and Zhe Yuan, Symmetry-Forbidden Intraband Transitions Leading to Ultralow Gilbert Damping in van der Waals Ferromagnets, Phys. Rev. Lett. 135, 176704 (2025). DOI:10.1103/j3jy-yl42
© 2025 Science X Network
原始报道:Mirror symmetry prompts ultralow magnetic damping in 2D van der Waals ferromagnets (2025, November 21) retrieved 21 November 2025 from https://phys.org/news/2025-11-mirror-symmetry-prompts-ultralow-magnetic.html