2026-04-20
18
谷电子学旨在利用能带结构中的谷自由度开展新型物理与器件研究,其核心现象之一是谷霍尔效应。在线性响应框架下,谷霍尔效应与其逆过程满足Onsager倒易关系,具有相同的物理起源。谷霍尔效应与逆谷霍尔效应的结合可以传递非局域的电荷输运,给出测量谷霍尔效应的一种关键实验方法。另一方面,近年来非线性输运效应引发了广泛关注,而在非线性输运框架里,谷霍尔效应的逆效应尚未得到研究,其物理本质尚不清楚。由非线性谷霍尔效应及非线性逆谷霍尔效应传递的非局域电输运会展现那些规律呢?这些规律和线性谷霍尔效应传递的非局域电输运的范式是否有基本的不同之处?这些都是谷电子学和非局域输运中有待回答的基本物理问题。
为了回答这些问题,复旦大学理论物理与信息科学交叉中心肖聪青年研究员与香港理工大学杨声远教授及澳门大学赖屾助理教授领衔的研究团队在理论上首次建立了由非线性谷响应引起非局域输运的物理图像。这项研究明确指出,在非线性区间,谷霍尔效应与其逆效应之间的倒易关系被打破。非线性逆过程必然具有截然不同的对称性与物理起源。这一发现澄清了此前相关理论工作中的物理图像误解。具体而言,之前被广泛研究的谷响应机制,包括线性谷霍尔效应及其逆过程以及非线性谷霍尔效应,均是“谷奇”(valley-odd)的,而新揭示的非线性逆谷霍尔效应却是“谷偶”(valley-even)的(图1)。这一根本性的物理区别导致由谷输运传递的非局域电荷输运表现出独特的标度行为,这为实验上分辨非线性谷响应提供了关键的判据。
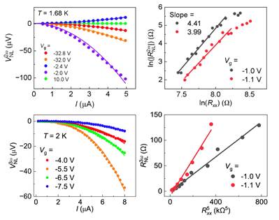
在实验方面,研究团队与复旦大学微纳电子器件与量子计算机研究院沈健教授和何攀青年研究员领导的实验团队合作,在石墨烯/六角氮化硼莫尔超晶格中开展了非局域电学测量,首次同时观测到了非线性谷霍尔效应及其逆效应。通过谐波测量技术,团队成功探测到显著的非局域二次谐波电压信号,其幅值随驱动电流呈平方关系。此外,团队还观测到了由非线性逆谷霍尔效应产生的三次和四次谐波非局域电压信号。对非局域电阻的标度分析表明,二次和三次谐波电压信号分别呈现四次和五次的电流依赖关系(图2),与上述理论工作的预测一致。这些结果不仅验证了理论的正确性,也进一步凸显了该理论在非线性谷电子学研究中的基础性框架作用。
上述理论成果以“Nonlocal transport from nonlinear valley responses”为题,于2025年9月18日以Letter 形式发表于 Physical Review B,并被选为编辑推荐(Editors' Suggestion)。文章作者包括复旦大学肖聪青年研究员(通讯作者)、香港理工大学杨声远教授、曹晋博士(第一作者)、澳门大学赖屾教授(通讯作者)以及新加坡南洋理工大学王慧博士。实验成果以“Observation of giant nonlinear valley Hall effect”为题,于2026年3月31日发表于 Nature Physics。复旦大学何攀青年研究员、博士生张敏以及香港理工大学博士后曹晋为共同第一作者;复旦大学何攀青年研究员、香港理工大学杨声远教授、复旦大学肖聪青年研究员及沈健教授为共同通讯作者。上述研究工作得到了国家自然科学基金、科技部重点研发计划、国家重大科技项目、合肥国家实验室项目、上海市重大科技项目及上海市面上项目、复旦大学、澳门科学技术发展基金、澳门大学及香港理工大学等多方资金的资助。

图1:在线性谷霍尔效应中,正过程和逆过程互为Onsager倒易过程。而非线性谷霍尔效应与其逆效应具有不同的对称性和起源。它们是两个独立的物理过程。

图2:在石墨烯/六角氮化硼莫尔超晶格中观测到的标度关系,与理论预测一致。
文章链接:https://link.aps.org/doi/10.1103/pjmx-rmnt
https://www.nature.com/articles/s41567-026-03221-7